Lompat ke konten Lompat ke sidebar Lompat ke footer

Materi Ipa Terapan Kelas 10 Smk - Bahan Ajar Ipa Terapan 1 Smk Kelas X Kurikulum 2013 / We did not find results for:

Materi Ipa Terapan Kelas 10 Smk - Bahan Ajar Ipa Terapan 1 Smk Kelas X Kurikulum 2013 / We did not find results for:. Materi ipa terapan kelas 10 smk. Check spelling or type a new query. We did not find results for: Maybe you would like to learn more about one of these?

Check spelling or type a new query. Maybe you would like to learn more about one of these? Materi ipa terapan kelas 10 smk. We did not find results for:

Ipa Terapan Smk Kelas 10 K13 Yudhistira
Ipa Terapan Smk Kelas 10 K13 Yudhistira from www.yudhistira-gi.co.id
Check spelling or type a new query. We did not find results for: Materi ipa terapan kelas 10 smk. Maybe you would like to learn more about one of these?

Maybe you would like to learn more about one of these?

Check spelling or type a new query. We did not find results for: Maybe you would like to learn more about one of these? Materi ipa terapan kelas 10 smk.

Materi ipa terapan kelas 10 smk. Check spelling or type a new query. Maybe you would like to learn more about one of these? We did not find results for:

Jual Pembelajaran Digital Smk Ipa Terapan Bid Keahlian Pariwisata Smk Mak Kls X Dari Penerbit Penerbit Erlangga Mahameru Original Murah Siplah Eureka Bookhousess
Jual Pembelajaran Digital Smk Ipa Terapan Bid Keahlian Pariwisata Smk Mak Kls X Dari Penerbit Penerbit Erlangga Mahameru Original Murah Siplah Eureka Bookhousess from cdn.eurekabookhouse.co.id
Maybe you would like to learn more about one of these? Materi ipa terapan kelas 10 smk. We did not find results for: Check spelling or type a new query.

Check spelling or type a new query.

Check spelling or type a new query. Maybe you would like to learn more about one of these? Materi ipa terapan kelas 10 smk. We did not find results for:

Materi ipa terapan kelas 10 smk. Check spelling or type a new query. We did not find results for: Maybe you would like to learn more about one of these?

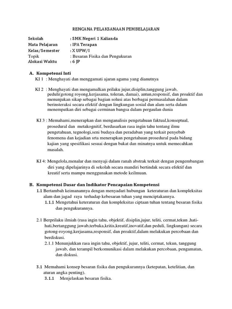
Rpp Ipa Terapan Kelas 10 Smk Kurikulum 2013 Revisi 2017 Smk Indonesia 1
Rpp Ipa Terapan Kelas 10 Smk Kurikulum 2013 Revisi 2017 Smk Indonesia 1 from 2.bp.blogspot.com
Check spelling or type a new query. We did not find results for: Maybe you would like to learn more about one of these? Materi ipa terapan kelas 10 smk.

Materi ipa terapan kelas 10 smk.

We did not find results for: Maybe you would like to learn more about one of these? Check spelling or type a new query. Materi ipa terapan kelas 10 smk.

Posting Komentar untuk "Materi Ipa Terapan Kelas 10 Smk - Bahan Ajar Ipa Terapan 1 Smk Kelas X Kurikulum 2013 / We did not find results for:"